Noticias de la Industria

Soluciones basadas en ciclodextrina para mejorar la solubilidad y la estabilidad

2025-12-23 - Déjame un mensaje

Soluciones basadas en ciclodextrina para mejorar la solubilidad y la estabilidad

Descripción técnica del hidroxipropil betadex y del betadex sulfobutil éter sódico

Las ciclodextrinas son ampliamente reconocidas por su capacidad para mejorar la solubilidad y estabilidad de compuestos poco solubles o químicamente sensibles. Debido a su estructura molecular cíclica única, las ciclodextrinas y sus derivados se han convertido en importantes excipientes funcionales en los campos de formulación farmacéutica, química y relacionados. En respuesta a los crecientes requisitos técnicos y regulatorios, Xi'an Deli Biochemical ha perfeccionado aún más la documentación técnica y el soporte de producto para sus principales derivados de ciclodextrina:hidroxipropil betadex (HPBCD) y betadex sulfobutil éter sódico (SBECD).


Características estructurales y desempeño funcional de las ciclodextrinas.

Las ciclodextrinas son oligosacáridos cíclicos compuestos de unidades de glucosa unidas por enlaces glicosídicos α-1,4. Su arquitectura molecular presenta una superficie exterior hidrófila y una cavidad interna relativamente hidrófoba, lo que permite la formación de complejos de inclusión con una amplia gama de moléculas invitadas. La modificación química de la estructura de la ciclodextrina puede mejorar significativamente la solubilidad acuosa y ampliar la versatilidad de la aplicación.


Hidroxipropil Betadex (HPBCD)


El hidroxipropil betadex es una β-ciclodextrina modificada químicamente diseñada para superar la solubilidad limitada de las ciclodextrinas nativas. Su solubilidad en agua mejorada y su compatibilidad favorable hacen que HPBCD sea adecuado para aplicaciones que requieren solubilización, estabilización y flexibilidad de formulación efectivas en diversos sistemas.


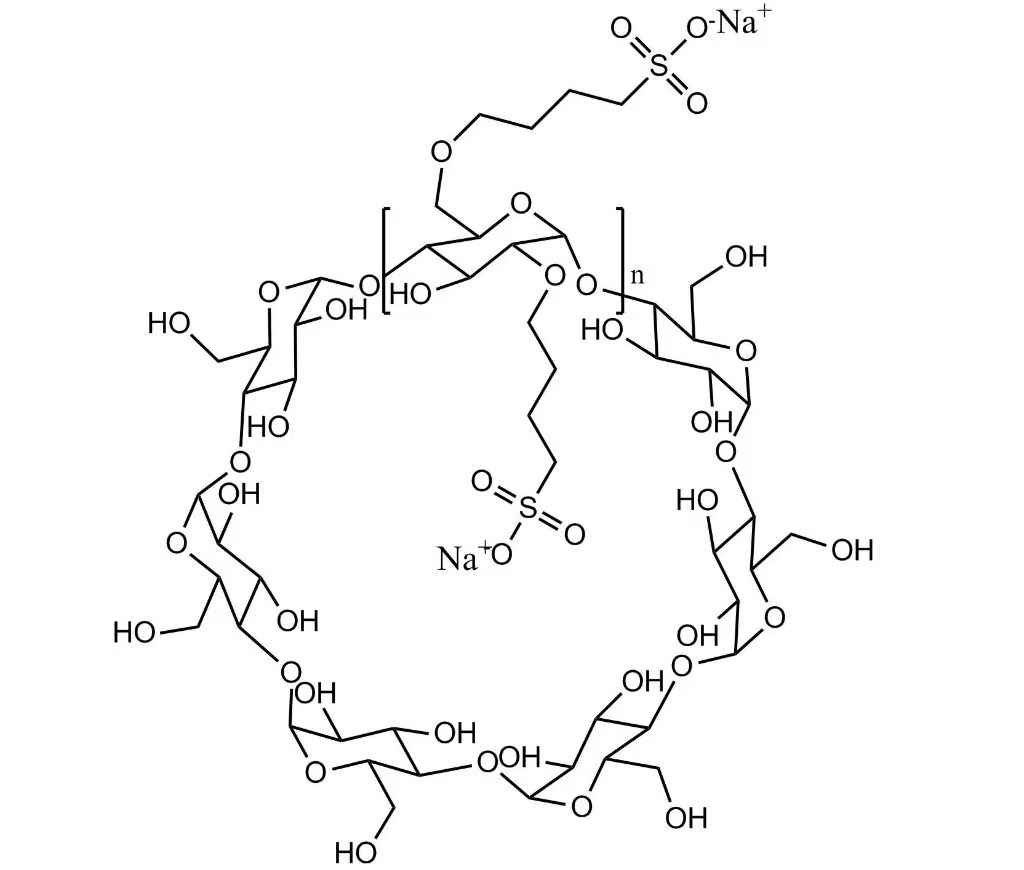
Betadex Sulfobutil Éter Sódico (SBECD)


Betadex sulfobutil éter sódico es un derivado aniónico de ciclodextrina caracterizado por sustituyentes de sulfobutil éter. Esta estructura mejora las interacciones electrostáticas con compuestos específicos, lo que respalda una mejor solubilidad, estabilidad compleja y solidez de la formulación en aplicaciones más exigentes.

Información estandarizada sobre productos y soporte técnico

Para respaldar mejor el desarrollo de formulaciones, la evaluación de la calidad y los procesos de adquisición, Xi’an Deli Biochemical ha actualizado sistemáticamente la información de productos para HPBCD y SBECD, que incluye:


  • Especificaciones de producto y parámetros analíticos claramente definidos y estandarizados
  • Certificados de análisis (COA) específicos de lotes para garantizar la trazabilidad y la verificación de la calidad.
  • Preguntas frecuentes técnicas ampliadas que abordan consideraciones de manipulación, almacenamiento y aplicaciones típicas
  • Resúmenes de productos optimizados diseñados para facilitar la revisión y selección técnica eficiente


Estas mejoras tienen como objetivo mejorar la transparencia, reducir los plazos de evaluación y respaldar un rendimiento constante del producto durante todo el ciclo de suministro.


Experiencia en fabricación y garantía de calidad

Fundada en 1999, Xi'an Deli Biochemical aporta 26 años de experiencia en la fabricación de derivados de ciclodextrina. La empresa se centra en la producción controlada de hidroxipropil betadex y betadex sulfobutil éter sódico, haciendo hincapié en la coherencia del proceso, la fiabilidad entre lotes y la estabilidad del suministro a largo plazo. Las prácticas estructuradas de gestión de calidad respaldan los requisitos técnicos, regulatorios y de abastecimiento de los clientes.


Ámbito de aplicación y colaboración técnica

Basados ​​en mecanismos de inclusión y estabilización de ciclodextrina, HPBCD y SBECD son aplicables en múltiples campos técnicos, incluidas formulaciones relacionadas con productos farmacéuticos, productos químicos especializados, productos veterinarios y otros sistemas que requieren mayor solubilidad y estabilidad. Xi'an Deli Biochemical continúa interactuando con socios a través de comunicación centrada en aplicaciones y colaboración técnica para respaldar las necesidades de formulación en evolución.


Acerca de las empresas de la industria bioquímica Xi'an Deli

Fundada en 1999, Xi'an Deli Biochemical Industry Companies es un fabricante especializado de derivados de ciclodextrina que suministra hidroxipropil betadex (HPBCD) y betadex sulfobutil éter sódico (SBECD) a clientes globales. Con un enfoque duradero en la consistencia del producto, especificaciones claras y soporte técnico práctico, la empresa sigue comprometida a brindar soluciones confiables basadas en ciclodextrina.


Si quieres también puedo:


  • Optimice aún más esto para Google SEO (sin reducir el tono técnico)
  • Condensarlo en una versión de “Actualización técnica” de la página del producto
  • Adáptelo para clientes regulatorios/centrados en la calidad


Sólo dime dónde planeas publicarlo.


Enviar Consulta


icon
X
Utilizamos cookies para ofrecerle una mejor experiencia de navegación, analizar el tráfico del sitio y personalizar el contenido. Al utilizar este sitio, acepta nuestro uso de cookies. política de privacidad
Rechazar Aceptar