La beta ciclodextrina de sulfobutil éter inyectable es un excipiente premium para formulaciones de medicamentos parenterales. Xi'an DELI Biochemical proporciona SBEβCD de alta pureza con calidad constante y soporte técnico. Contáctenos hoy para muestras e información detallada del producto.
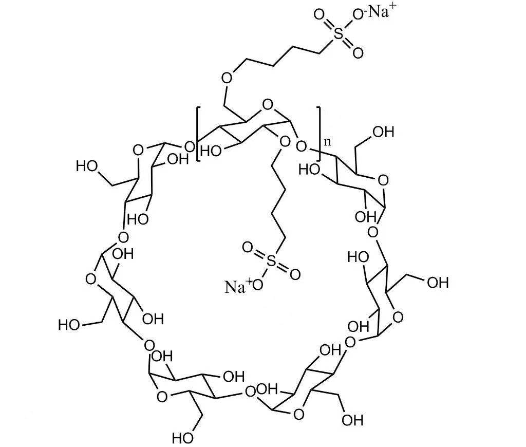
Sulfobutil éter beta ciclodextrina inyectable(SBEβCD) es un derivado de ciclodextrina soluble en agua de alta pureza diseñado específicamente paraformulaciones de medicamentos inyectables y parenterales. Mejora la solubilidad, estabilidad y biodisponibilidad de ingredientes farmacéuticos activos (API) poco solubles, formando complejos de inclusión estables que garantizan una administración constante del fármaco y un rendimiento terapéutico.
Adecuado para aplicaciones intravenosas, intramusculares y subcutáneas.SBEβCDpreviene la precipitación, reduce la degradación química y respalda los API sensibles en soluciones oftálmicas, aerosoles nasales y otras formulaciones líquidas. Su excelente solubilidad en agua, baja toxicidad y biocompatibilidad lo convierten en un excipiente preferido para la investigación, el desarrollo clínico y los productos inyectables comerciales.
Xi'an DELI Biochemical Industry Co., Ltd., fundada en 1999, tiene más de 26 años de experiencia en la producción de derivados de ciclodextrina, incluidos SBECD e Hydroxypropyl Betadex. La empresa ofrece productos consistentes de alta pureza con un estricto control de calidad, soporte técnico y suministro global confiable para los mercados farmacéutico, veterinario y cosmético. Certificados de análisis (COA), datos técnicos y evaluaciones de muestras están disponibles para respaldar el desarrollo de su formulación.
Contáctenos hoy para solicitar muestras, datos técnicos o una cotización paraSulfobutil éter beta ciclodextrina inyectable (SBEβCD)y mejorar la solubilidad, estabilidad y rendimiento de sus formulaciones inyectables.
