Polvo de sodio de sulfobutiléter beta ciclodextrina
IMG
VIDEO

Polvo de sodio de sulfobutiléter beta ciclodextrina

Polvo de sodio de sulfobutiléter beta ciclodextrina
Número CAS: 182410-00-0
Apariencia: Polvo amorfo de color blanco a blanquecino
Grado: Grado de inyección/excipiente farmacéutico
Ensayo: ≥ 99,0% (en base anhidra)
Solubilidad: Totalmente soluble en agua
Endotoxinas bacterianas: ≤ 10 UE/g
Estándar ejecutivo: USP / EP / ChP

Enviar Consulta

Descripción del Producto


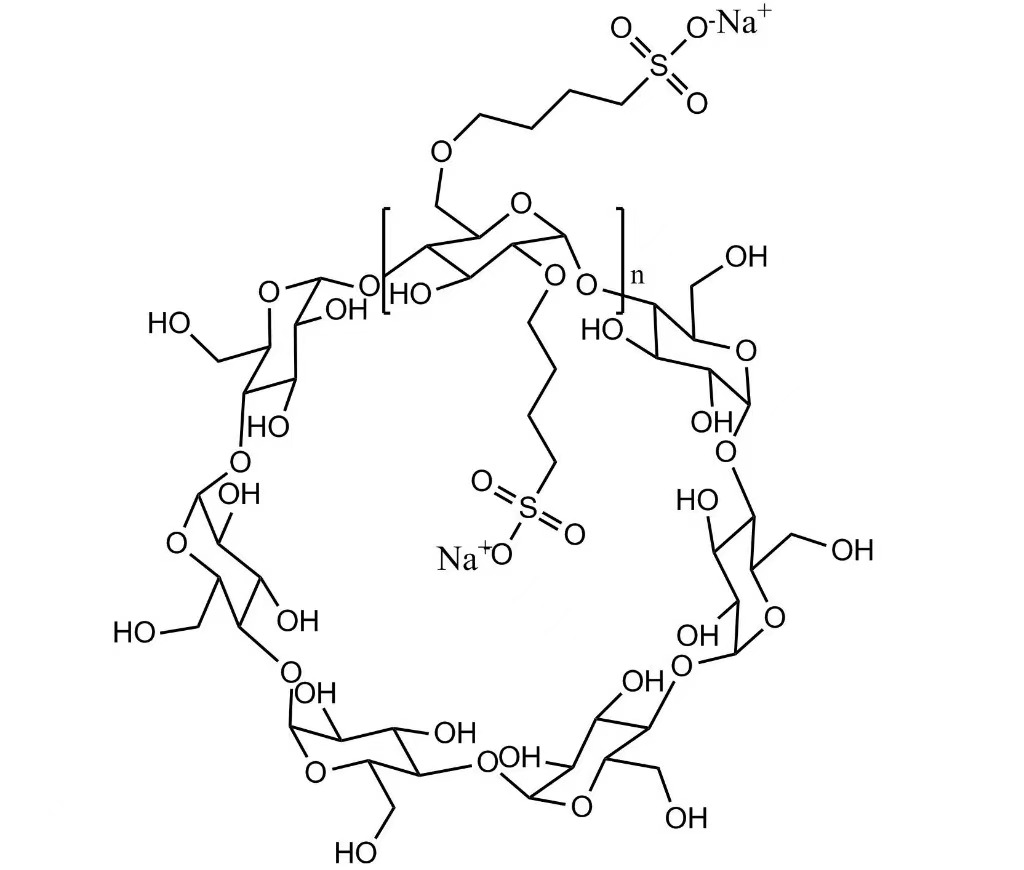
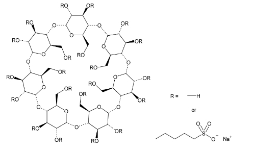
¿Qué es el polvo de sulfobutiléter beta ciclodextrina sódica?


El polvo de sulfobutiléter beta ciclodextrina sódica es un derivado aniónico de β-ciclodextrina altamente soluble en agua que se utiliza como excipiente farmacéutico. Se produce modificando químicamente la beta ciclodextrina con grupos sulfobutil éter en condiciones alcalinas controladas, lo que da como resultado una sal de sodio con excelentes propiedades solubilizantes.

Este excipiente de calidad inyectable está diseñado para formar complejos de inclusión no covalentes estables con ingredientes farmacéuticos activos (API) poco solubles. Al encapsular las moléculas del fármaco, el polvo de sulfobutiléter beta ciclodextrina sódica mejora significativamente la solubilidad, estabilidad y biodisponibilidad del fármaco al tiempo que reduce la irritación local, la hemólisis y la toxicidad renal.

Debido a su alto perfil de seguridad y su fuerte capacidad de complejación, el polvo de sulfobutiléter beta ciclodextrina sódica se usa ampliamente en formulaciones farmacéuticas parenterales, particularmente para medicamentos inyectables antifúngicos, antivirales, oncológicos y cardiovasculares. Cumple con los principales estándares farmacopeicos, como USP y EP, y es adecuado para aplicaciones farmacéuticas clínicas y comerciales.


Especificación del polvo de sodio de sulfobutiléter beta ciclodextrina


Producto naa mí
Sulfobutiléter Beta Ciclodextrina Sódica
No. CAS
182410-00-0
Apariencia Polvo higroscópico blanco o casi blanco.
Estándar ejecutivo USP / EP / ChP
Embalaje 500 g/bolsa; 1 kg/bolsa; 10 kg/bolsa; 10 kg/bidón
Sinónimos SBE-β-CD; Sulfobutil éter beta-ciclodextrina; Betadex sulfobutil éter sódico
ENSAYO ≥99%
Endotoxinas bacterianas
≤10UE/g
Cantidad mínima de pedido 1kg


Polvo COA del sodio de la ciclodextrina beta del sulfobutiléter


¿Cuál es el uso y los beneficios de la sulfobutil éter beta ciclodextrina (SBECD)?

1. Usos de la sulfobutil éter beta ciclodextrina (SBECD)

La sulfobutil éter beta ciclodextrina (SBECD) se utiliza principalmente como excipiente farmacéutico, especialmente en:


  • Formulaciones de medicamentos inyectables (parenterales)
  • Preparaciones oftálmicas (ojos)
  • Sistemas de administración de fármacos nasales y pulmonares.
  • Formulaciones de API poco solubles en agua, como medicamentos antifúngicos, antivirales, anticancerígenos y cardiovasculares.


2. Beneficios de la sulfobutil éter beta ciclodextrina (SBECD)


  • Mejora significativamente la solubilidad en agua de fármacos poco solubles.
  • Mejora la estabilidad del fármaco mediante la formación de complejos de inclusión no covalentes.
  • Mejora la seguridad de los medicamentos, especialmente para formulaciones inyectables.
  • Reduce la toxicidad renal en comparación con algunos solubilizantes tradicionales.
  • Minimiza la hemólisis y la irritación en el lugar de la inyección.
  • Controla la tasa de liberación de fármacos, mejorando el rendimiento terapéutico.
  • Enmascara el olor o sabor desagradable de los API.
  • Alta solubilidad acuosa y baja toxicidad, apto para uso parenteral.

¿Por qué elegirnos?


Más de 20 años de experiencia en fabricación

Con más de dos décadas de experiencia dedicada en la fabricación de ciclodextrina y derivados de ciclodextrina, Xi'an Deli Biochemical Industry Co., Ltd. ha construido una sólida reputación por la calidad del producto, la estabilidad del proceso y el suministro confiable.


Capacidad de producción estable y a gran escala

Operamos líneas de producción a escala industrial con una capacidad anual de 500 toneladas de hidroxipropil Betadex y 200 toneladas de Betadex sulfobutil éter sódico, lo que garantiza un suministro estable para aplicaciones comerciales y clínicas a largo plazo.


Garantía de calidad de grado farmacéutico

Nuestros productos se fabrican bajo un estricto sistema de gestión de calidad, con un área limpia Clase D dedicada diseñada de acuerdo con los requisitos de producción farmacéutica. Las pruebas exhaustivas durante el proceso y del producto final garantizan una excelente consistencia entre lotes.


Capacidades avanzadas de análisis y pruebas

Equipado con instrumentos analíticos modernos como HPLC, GC, IC, electroforesis capilar, FTIR y pruebas respaldadas por NMR, nuestro laboratorio es capaz de cumplir con los requisitos farmacopeicos de USP, EP y ChP, respaldando el desarrollo de formulaciones y el cumplimiento normativo.


Soporte regulatorio y experiencia en el mercado global

Nuestros productos clave, incluidos Hydroxypropyl Betadex y Betadex Sulfobutyl Ether Sodium, han sido registrados y presentados ante la FDA, lo que demuestra nuestra experiencia en el apoyo a clientes de los mercados farmacéuticos globales.


Soporte técnico orientado al cliente

Brindamos soporte técnico profesional, asistencia con la documentación y orientación relacionada con la formulación, trabajando en estrecha colaboración con los clientes desde el desarrollo inicial hasta el suministro comercial a largo plazo.


Calificación de la empresa

Certificados de Xi'an Deli Biochemical Industry Co., Ltd.

A lo largo de los años, Xi'an Deli Biochemical Industry Co., Ltd. se ha comprometido continuamente con la optimización del proceso de fabricación y el establecimiento de un sistema integral de gestión de calidad para las ciclodextrinas y sus derivados.


Preguntas frecuentes

1. ¿Es usted un fabricante o una empresa comercial?

Somos un fabricante profesional especializado en ciclodextrina y derivados de ciclodextrina. Todos los productos se producen en nuestras propias instalaciones de fabricación en Xi'an, China.


2. ¿Cuáles son sus principales productos?

Nuestros principales productos son Hydroxypropyl Betadex (HPBCD) y Betadex Sulfobutyl Ether Sodium (SBECD), que se utilizan ampliamente como excipientes farmacéuticos, especialmente en formulaciones inyectables y orales.


3. ¿Sus productos cumplen con los estándares de la farmacopea?

Sí. Nuestros productos cumplen con los requisitos de la USP, EP y la farmacopea china. Con cada lote se proporcionan certificados de análisis completos (COA).


4. ¿Suministran materiales de calidad inyectable?

Sí. Nos especializamos en derivados de ciclodextrina de grado inyectable con un estricto control de impurezas, endotoxinas y consistencia entre lotes.


5. ¿Cuál es su capacidad de producción?

Hidroxipropil Betadex: 500 toneladas métricas por año

Betadex Sulfobutil Éter Sódico: 200 toneladas métricas por año


6. ¿Proporcionan muestras para evaluación?

Sí. Hay muestras gratuitas disponibles previa solicitud para el desarrollo y prueba de formulaciones.


7. ¿Pueden respaldar el suministro comercial a largo plazo?

Sí. Con líneas de producción a gran escala y sistemas de calidad estables, respaldamos el suministro a largo plazo y a escala comercial para clientes farmacéuticos globales.


8. ¿Qué sistemas de calidad seguís?

Operamos bajo la norma ISO 9001:2015, respaldados por equipos analíticos avanzados y un laboratorio de control de calidad dedicado para garantizar la consistencia y el cumplimiento del producto.



Etiquetas calientes: Polvo de sulfobutiléter beta ciclodextrina sódica, fabricantes, proveedores, China, fábrica, a granel, muestra gratis, hecho en China, en stock, venta al por mayor, comprar

Categoría relacionada

Enviar Consulta

Por favor, siéntase libre de dar su consulta en el siguiente formulario. Le responderemos en 24 horas.
icon
X
Utilizamos cookies para ofrecerle una mejor experiencia de navegación, analizar el tráfico del sitio y personalizar el contenido. Al utilizar este sitio, acepta nuestro uso de cookies. política de privacidad
Rechazar Aceptar